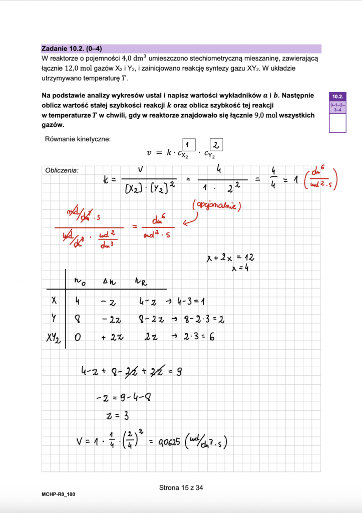
Poniżej znajdziesz rozwiązany przeze mnie arkusz maturalny z maja 2025. Pamiętaj jednak, że są to tylko propozycje odpowiedzi. Oficjalnym dokumentem, z którego należy korzystać jest klucz odpowiedzi CKE.
Może Cię zainteresować również wpis dotyczący wglądu do pracy maturalnej. Tu jest opisana procedura wglądu z 2024 roku, ale nie zmieniła się ona w roku 2025 🙂
































